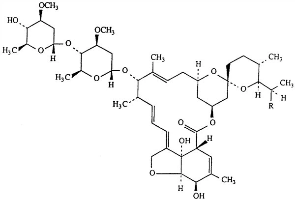
Jaka jest struktura iwermektyny
Proszek Iwermektynyjest nowym rodzajem wysokowydajnego półsyntetycznego antybiotyku, insektycydu, roztoczobójcy i nicieniobójczego, który należy do owadobójczego czynnika nerwowego i biologicznego penetrantu. Iwermektyna jest szeroko stosowana w nicieniach żołądkowo-jelitowych, nicieniach płucnych i stawonogach pasożytniczych u bydła, owiec, koni i świń, nicieniach jelitowych u psów, świerzbowcach usznych, świerzbu, nicieniach sercowych i mikrofilariach oraz nicieniach żołądkowych drobiu i ektopasożytach. Jako antybiotyk ma działanie odstraszające nicienie, owady i roztocza. Iwermektyna jest stosowana głównie w leczeniu nicieni żołądkowo-jelitowych, robaków skóry bydlęcej, robaków skóry, robaków nosa owiec oraz świerzbu świń i owiec u zwierząt gospodarskich. Ponadto iwermektyna może również leczyć nicienie endopasożytnicze u drobiu. Można go również przekształcić w rolnicze środki owadobójcze i roztoczobójcze do zabijania roztoczy, ćmy diamentowej, gąsienic kapusty, górników, psyllidów, nicieni itp., Powszechnie pasożytujących na roślinach. Iwermektyna jest również pestycydem botanicznym, który jest wytwarzany przez kruszenie, rozpuszczanie, dodawanie dodatków i środków penetrujących z różnych roślin, takich jak Niu Xin Po Zi i Sophora Sophora oraz chińskich leków ziołowych.
Iwermektyna jest pochodną awermektyny w wyniku fermentacji awermektyny Streptomyces. Jest antybiotykiem makrolidowym o szesnastoczłonowym pierścieniu; jego podstawową strukturą jest duży pierścień estrowy przy węglu 16 i trzy główne grupy podstawnikowe, heksahydrobenzofuran przy C2 do C8, grupa disacharydowa w pozycji C13, grupa ketonowa w miejscu C17 do C18. Iwermektyna, produkowana przez Xi'an Sonwu, przeszła testy i testy certyfikacyjne stron trzecich, takie jak SGS i HPLC. Xi'an Sonwu zapewnia usługi online i terminowe; kliknij wiadomość e-mail, aby otrzymać surową iwermektynę.

Certyfikat analizy
Przedmiotów | Specyfikacje | Wyniki testów |
Analiza | Większy lub równy 99,0 procent | 99,35 proc |
Wygląd zewnętrzny | Biały krystaliczny proszek | Odpowiadać |
Sito | 100 procent przechodzi 80 oczek | Odpowiadać |
Rozpuszczalność | Praktycznie nierozpuszczalny w wodzie, swobodnie rozpuszczalny w chlorku metylenu, rozpuszczalny w alkoholu | Odpowiadać |
Identyfikacja | IR: Odpowiada CRS standard HPLC: czas retencji dla H2 B1a i H2 B1b odpowiada ten standard | Odpowiadać |
Wygląd rozwiązania | Przejrzysty i nie intensywniej zabarwiony niż BY7 | Odpowiadać |
Strata przy suszeniu | Mniejsze lub równe 0,5 procent | Odpowiadać |
Substancje pokrewne | Zanieczyszczenia ogółem Mniejsze lub równe 2,0 procent Pomiń limit mniejszy lub równy 0,05 procent | 1,0 procent <> |
Pozostałości rozpuszczalnika | Etanol Mniejszy lub równy 2,0 procent Formamid Mniejszy lub równy 1,0 procent | 1,5 proc 0,5 procent |
ciężki metal | Mniejsze lub równe 0,002 | Mniejsze lub równe 0,002 |
Wniosek | Zgodne ze specyfikacjami | |
Gdzie kupić Iwermektynę
Xi'an Sonwu BiotechCo., Ltd. to międzynarodowe przedsiębiorstwo handlowe, a jego obszary handlowe obejmują kraje i regiony obu Ameryk, Azji, Europy i Oceanii. Xi'an Sonwu ma prawie dziesięcioletnie doświadczenie w produkcji i produkcji oraz bogate doświadczenie w produkcji, testowaniu, sprzedaży i eksporcie produktów. Xi'an Songwu ma określoną linię transportu w handlu światowym i istnieje szereg ścisłych procesów, od produkcji produktu po usługę „od drzwi do drzwi”. Xi'an Sonwu zawsze przestrzegał zasady jakości na pierwszym miejscu, dążąc do celu, jakim jest wytwarzanie produktów wysokiej jakości po niskich kosztach i dążenie do zadowolenia każdego klienta. W oparciu o powyższe cele, klienci przekazali dobre opinie na temat produktów, więc jeśli potrzebujeszproszek iwermektyny, proszę znaleźć Xi'an Sonwu.
Xi'an Sonwu nie tylko w pełni gwarantuje jakość produktu, ale także może dostarczyć próbki. Proszę sprawdzić ilość.
Formularz
Formularz | Przykładowa kwota | Minimalne zamówienie |
Proszek | 50g | 100g |
Dobry komentarz klientów

Iwermektyna dla świń doustnie
Nowy lek przeciwpasożytniczy o szerokim spektrum działania, o wysokiej skuteczności i niskiej toksyczności, iwermektyna, został użyty jako lek testowy do obserwacji skuteczności leku na świniach zakażonych glistnicą. Badania kliniczne wykazały, że iwermektyna ma dobry wpływ na wydalanie Ascaris suum. W teście liczba jaj robaków zliczona na podstawie badania kału wykazała, że liczba jaj Ascaris suum w każdym gramie kału w grupach otrzymujących wysoką, średnią i niską dawkę zmniejszyła się z 100 procent przed lekami odpowiednio do 15,31%, 23,28% i 30,47%. Zmniejszono o 84,69 procent , 76,72 procent i 69,53 procent . Liczba jaj Ascaris suum na gram kału w grupie kontrolnej spadła ze 100 procent przed podaniem leku do 26,46 procent, a liczba jaj zmniejszyła się o 73,54 procent. Wyniki pokazują, że iwermektyna ma lepsze działanie przeciwrobacze na ascariasis suum. Praktyka kliniczna wykazała, że dla świń z łagodną chorobą zaleca się dawkę 0,3 mg/kg, a dla świń z ciężką chorobą zaleca się dawkę 0,4 mg/kg.

Mechanizm działania Iwermektyna
Jednym z mechanizmów działania iwermektyny jest zakłócanie czynności neurofizjologicznych szkodników i stymulowanie uwalniania kwasu -aminomasłowego. Działając na nerwy i mięśnie, zwiększa uwalnianie jonów chlorkowych. Hamuje przekazywanie informacji w stawach nerwowych, powodując w ten sposób paraliż i zatrucie śmierci szkodników i roztoczy. Iwermektyna to nowy rodzaj antybiotyku o szerokim spektrum działania, o wysokiej skuteczności i niskiej toksyczności, leku przeciwpasożytniczego, który ma dobre działanie bójcze na pasożyty wewnętrzne i zewnętrzne, głównie stawonogi. Ale nie dotyczy tasiemców, przywr i pierwotniaków. Działanie odstraszające i zabijające makrolidowe leki przeciwpasożytnicze na nicienie i stawonogi polega na zwiększeniu hamującego przekaźnika - kwasu aminomasłowego robaków, otwarciu kanału jonowego Cl kontrolowanego przez kwas glutaminowy i wzmocnieniu przepuszczalności błony nerwowej dla Cl. Efekt ten oznacza blokowanie przekazywania sygnałów nerwowych, paraliż nerwów i utratę zdolności do kurczenia się komórek mięśniowych, co prowadzi do śmierci robaka.
Drugim mechanizmem jego owadobójczego działania jest hamowanie syntezy chityny w naskórku owadów. Diflubenzuron jest głównie trucizną żołądkową, ale może również atakować naskórek owada, aby działać. Zapobieganie i zwalczanie szkodników liściożernych ma zalety unikalnego mechanizmu działania, dobrego efektu zwalczania, długiego okresu efektu resztkowego, niskich kosztów zwalczania, odporności na deszcz, odporności na pestycydy oraz bezpieczeństwa dla roślin, ludzi, zwierząt, środowiska naturalnego wrogami i otoczeniem.
Jako pestycyd botaniczny, jego mechanizm działania polega głównie na działaniu kontaktowym, uzupełnionym toksycznością żołądkową. Iwermektynę można stosować do zapobiegania i zwalczania różnych mszyc i szkodników zjadających liście. Można go rozcieńczyć 1000-2000 razy wodą i spryskać, a efekt zwalczania wynosi ponad 98 procent. Lek należy do nowej generacji pestycydów roślinnych o niskiej toksyczności, niskiej pozostałości i nieszkodliwości dla ludzi, zwierząt i środowiska.

Jaka jest różnica między iwermektyną a abamektyną
1. Skład jest inny. Abamektyna i iwermektyna to dwie zupełnie różne rzeczy. Abamektyna jest szesnastoczłonowym związkiem makrolidowym, a iwermektyna jest półsyntetycznym wieloskładnikowym antybiotykiem makrolidowym.
2. Miejsca aplikacji są różne. Abamektyna jest pestycydem, a iwermektyna jest szeroko stosowana w leczeniu nicieni żołądkowo-jelitowych, nicieni płucnych i pasożytniczych stawonogów bydła, owiec, koni i świń, nicieni jelitowych psów, świerzbowca usznego, świerzbu, Filaria sercowa i mikrofilarii oraz nicieni żołądkowo-jelitowych drobiu i ektopasożytów .
3. Różne metody zabijania owadów. Avi obejmuje awermektynę B1a i awermektynę B1b, z których B1a stanowi nie mniej niż 90 procent, a B1b nie więcej niż 5 procent. Iwermektyna zawiera głównie B1 (Bla plus B1b), co najmniej 93 procent, z czego Bla to nie mniej niż 85 procent.

Iwermektyna ma działanie odstraszające i zabijające nicienie i stawonogi, a abamektyna zatruwa żołądek i zabija kontaktowo roztocza i owady, ale nie zabija jaj. Abamektyna nie może powodować szybkiego odwodnienia owadów, więc śmiercionośny produkt jest powolny. Chociaż abamektyna ma bezpośredni kontaktowy efekt zabijania drapieżnych owadów i pasożytniczych naturalnych wrogów, wyrządza niewielkie szkody pożytecznym owadom, ponieważ na powierzchni rośliny pozostaje niewiele pozostałości. Abamektyna jest adsorbowana przez glebę w glebie i nie przemieszcza się oraz jest rozkładana przez mikroorganizmy, więc nie gromadzi się w środowisku. Może być wykorzystany jako element kompleksowej kontroli.
Fabryka
1. Xi'an Sonwu Biotech Co., Ltd ma swoją fabrykę do produkcji, wytwarzania i przechowywania produktów, więc ma odpowiednie zapasy. Xi'an Sonwu ma dobrze uporządkowany, czysty i uporządkowany dział produkcji. Pod Xi'an Sonwu naukowcy mogą stale opracowywać nowe produkty wysokiej jakości.
2. Xi'an Sonwu ma surowe wymagania dotyczące przydziału personelu od produkcji i testowania do sprzedaży. Aby zapewnić, że każdy produkt jest eskortowany, zapewnione jest rygorystyczne wsparcie danych i obsługa posprzedażna.


Certyfikat

Pakiet

Logistyka

Oprócz gwarancji produktów, drugą najważniejszą rzeczą jest to, że klienci mogą płynnie odbierać towary. Tak więc Xi'an Sonwu dostarcza wszelkiego rodzaju kurierów zgodnie z różnymi potrzebami.

Często zadawane pytania
Iwermektynę należy również stosować ostrożnie. U psów jest zwykle stosowany jako lek zapobiegający robaczycy serca. Psy pozbawione genu P-glikoproteiny, zwykle jak collie, mogą być poważnie zatrute po podaniu iwermektyny. Niektóre inne owczarki szkockie, owczarki szkockie, owczarki szetlandzkie i owczarki australijskie również miały wysoką częstość występowania mutacji w genie MDR1. Ponadto jednoczesne stosowanie spinosadu i iwermektyny może nasilać działanie toksyczne iwermektyny u psów. Ivermectin Collie jest przeciwwskazany do stosowania.
U kotów kocięta są podatne na toksyczność iwermektyny.
Iwermektyna jest czasami stosowana jako środek roztoczobójczy dla gadów. Iwermektyna jest czasami stosowana jako środek roztoczobójczy dla gadów. Należy jednak pamiętać, że jest to szczególnie zabronione w przypadku żółwi.
Przed użyciem iwermektyny przetestuj swojego zwierzaka. Jeśli potrzebujesz luzemproszek iwermektyny, nie wahaj się skontaktować z Xi'an Sonwu.
E-mail:sales@sonwu.com
Popularne Tagi: proszek iwermektyny, Chiny, dostawcy, producenci, fabryka, hurt, kup, cena, luzem, czysty, surowy, dostawa, na sprzedaż














